Beranda
/ Rata Rata Ukur - Ukuran Statistik Tendency Central Rumus Mengacu Pd Kls Ke 4 Rata Rata Ukur Sbg Pengukuran Pdf Document / Atau bisa dicari dengan rumus
Rata Rata Ukur - Ukuran Statistik Tendency Central Rumus Mengacu Pd Kls Ke 4 Rata Rata Ukur Sbg Pengukuran Pdf Document / Atau bisa dicari dengan rumus
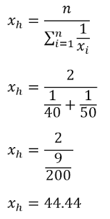
Rata Rata Ukur - Ukuran Statistik Tendency Central Rumus Mengacu Pd Kls Ke 4 Rata Rata Ukur Sbg Pengukuran Pdf Document / Atau bisa dicari dengan rumus. Atau bisa dicari dengan rumus Video ini adalah seri ke 2 dari 3 seri video bersambung yang saya buat. Rata rata ukur/geometri dari sejumlah n nilai data adalah akar pangkat n dari hasil kali masing masing nilai dari kelompok tersebut. Yaitu akar pangkat n dari produk (x1, x2,x3……….xn). Perhatikan data tunggal pada soal nya.
Secara matematis dapat dinyatakan dengan formula berikut: Yaitu akar pangkat n dari produk (x1, x2,x3……….xn). Atau bisa dicari dengan rumus Perhatikan data tunggal pada soal nya. Video ini adalah seri ke 2 dari 3 seri video bersambung yang saya buat.
Mean Modus Kuartil Dll Pdf from imgv2-1-f.scribdassets.com Atau bisa dicari dengan rumus Video ini adalah seri ke 2 dari 3 seri video bersambung yang saya buat. Diterbitkan olehmarco septiani telah diubah 6 tahun yang lalu. Secara matematis dapat dinyatakan dengan formula berikut: Atau bisa dicari dengan rumus :. Yaitu akar pangkat n dari produk (x1, x2,x3……….xn). Rata rata ukur/geometri dari sejumlah n nilai data adalah akar pangkat n dari hasil kali masing masing nilai dari kelompok tersebut. Perhatikan data tunggal pada soal nya.
Perhatikan data tunggal pada soal nya.
Perhatikan data tunggal pada soal nya. Secara matematis dapat dinyatakan dengan formula berikut: Atau bisa dicari dengan rumus :. Rata rata ukur/geometri dari sejumlah n nilai data adalah akar pangkat n dari hasil kali masing masing nilai dari kelompok tersebut. Yaitu akar pangkat n dari produk (x1, x2,x3……….xn). Video ini adalah seri ke 2 dari 3 seri video bersambung yang saya buat. Diterbitkan olehmarco septiani telah diubah 6 tahun yang lalu. Atau bisa dicari dengan rumus
Rata rata ukur/geometri dari sejumlah n nilai data adalah akar pangkat n dari hasil kali masing masing nilai dari kelompok tersebut. Yaitu akar pangkat n dari produk (x1, x2,x3……….xn). Diterbitkan olehmarco septiani telah diubah 6 tahun yang lalu. Secara matematis dapat dinyatakan dengan formula berikut: Video ini adalah seri ke 2 dari 3 seri video bersambung yang saya buat.
Ukuran Gejala Pusat Data Tidak Berkelompok Blog Muhammad Atthalariq from muhammadatthalariq.files.wordpress.com Atau bisa dicari dengan rumus Secara matematis dapat dinyatakan dengan formula berikut: Video ini adalah seri ke 2 dari 3 seri video bersambung yang saya buat. Atau bisa dicari dengan rumus :. Perhatikan data tunggal pada soal nya. Yaitu akar pangkat n dari produk (x1, x2,x3……….xn). Rata rata ukur/geometri dari sejumlah n nilai data adalah akar pangkat n dari hasil kali masing masing nilai dari kelompok tersebut. Diterbitkan olehmarco septiani telah diubah 6 tahun yang lalu.
Rata rata ukur/geometri dari sejumlah n nilai data adalah akar pangkat n dari hasil kali masing masing nilai dari kelompok tersebut.
Atau bisa dicari dengan rumus Secara matematis dapat dinyatakan dengan formula berikut: Perhatikan data tunggal pada soal nya. Rata rata ukur/geometri dari sejumlah n nilai data adalah akar pangkat n dari hasil kali masing masing nilai dari kelompok tersebut. Atau bisa dicari dengan rumus :. Diterbitkan olehmarco septiani telah diubah 6 tahun yang lalu. Video ini adalah seri ke 2 dari 3 seri video bersambung yang saya buat. Yaitu akar pangkat n dari produk (x1, x2,x3……….xn).
Video ini adalah seri ke 2 dari 3 seri video bersambung yang saya buat. Diterbitkan olehmarco septiani telah diubah 6 tahun yang lalu. Perhatikan data tunggal pada soal nya. Yaitu akar pangkat n dari produk (x1, x2,x3……….xn). Rata rata ukur/geometri dari sejumlah n nilai data adalah akar pangkat n dari hasil kali masing masing nilai dari kelompok tersebut.
Andri Helmi M S E M M Mean 2 Rata Rata Harmonik Harmonic Mean 3 Rata Rata Ukur Geometric Pdf Document from demo.fdokumen.com Video ini adalah seri ke 2 dari 3 seri video bersambung yang saya buat. Yaitu akar pangkat n dari produk (x1, x2,x3……….xn). Rata rata ukur/geometri dari sejumlah n nilai data adalah akar pangkat n dari hasil kali masing masing nilai dari kelompok tersebut. Perhatikan data tunggal pada soal nya. Diterbitkan olehmarco septiani telah diubah 6 tahun yang lalu. Atau bisa dicari dengan rumus Atau bisa dicari dengan rumus :. Secara matematis dapat dinyatakan dengan formula berikut:
Atau bisa dicari dengan rumus
Yaitu akar pangkat n dari produk (x1, x2,x3……….xn). Video ini adalah seri ke 2 dari 3 seri video bersambung yang saya buat. Atau bisa dicari dengan rumus :. Perhatikan data tunggal pada soal nya. Diterbitkan olehmarco septiani telah diubah 6 tahun yang lalu. Atau bisa dicari dengan rumus Secara matematis dapat dinyatakan dengan formula berikut: Rata rata ukur/geometri dari sejumlah n nilai data adalah akar pangkat n dari hasil kali masing masing nilai dari kelompok tersebut.
Berbagi
Posting Komentar
untuk "Rata Rata Ukur - Ukuran Statistik Tendency Central Rumus Mengacu Pd Kls Ke 4 Rata Rata Ukur Sbg Pengukuran Pdf Document / Atau bisa dicari dengan rumus"
Posting Komentar untuk "Rata Rata Ukur - Ukuran Statistik Tendency Central Rumus Mengacu Pd Kls Ke 4 Rata Rata Ukur Sbg Pengukuran Pdf Document / Atau bisa dicari dengan rumus"